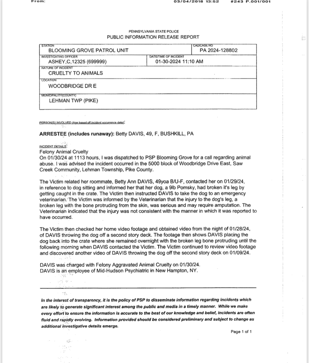
A state worker at Mid-Hudson Psychiatric Center is charged with felony animal cruelty after she was seen on video throwing her roommate’s dog from their deck multiple times.
A warning – this story may be disturbing to some viewers.
Betty Ann Davis, 49, from Bushkill, Pennsylvania, is accused of throwing 9-pound pomsky “Elli” five times off a 2-story deck and into a rock pile last month.
The incidents were caught on surveillance camera while she allegedly dog-sat in Pike County, Pennsylvania.
Elli’s owner gave News 12 the videos, as well as the animal’s x-ray, and says the dog suffered a broken leg that required amputation.
“I am absolutely devastated. I knew her ten years. Someone I trusted with my entire heart did this to my baby,” says the woman.
Pennsylvania State Police say Davis is employed at Mid-Hudson Psychiatric center in New Hampton and is charged with four counts of animal cruelty, two of which are felonies, including aggravated cruelty to an animal causing severe bodily injury.
News 12 reached out to the state for comment but did not immediately receive a response.
Police say Davis originally claimed the dog got injured after getting its leg stuck in its crate.
She was charged Jan. 30 and released from custody on $30,000 bail, according to Pennsylvania court records.


